Retinal image computation software
/*************************************************************************************
These programs are free software; you can redistribute
them and/or modify
them under the terms of the GNU General Public License as
published by
the Free Software Foundation; either version 2 of the License, or
(at your option) any later version.
*************************************************************************************/
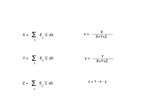
,
and
represents the percentage of the R,
G, B guns for each pixel,
,
,
are weighting parameters :
![]() |
(2) |
![]() |
(3) |
![]() |
(4) |
and
,
and
are the spectral power distribution
of the Red, Green and Blue guns.
![]() |
(5) |
![]() |
(6) |
![]() |
(3) |
![]() |
(4) |
![]() |
(5) |
![]() |
(7) |
![]() |
(8) |
| PF | Pupil function |
| AT | Amplitude Transmittance (Stiles Crawford effect) |
| W | Wave aberration = f(Pupil diameter) |
| ASF | Amplitude Spread Function |
| OTF | Optical Transfer Function |
| RI | Retinal Image |
| I | Displayed image (CRT) |
| Default Parameters : | |
|---|---|
| Pupil Diameter | 3 mm, |
| Focus Wavelength | 570 nm, |
| Zernike order | 15, |
| Pupil shift X, Pupil Shift Y | 0mm, |
| Wavelengths | 400:10:750, |
| Displayed image size | 512 pixels, |
| Pupil function size | 256. |

| xR |
yR |
YR
|
| xG |
yG |
YG=100.0 |
| xB |
yB |
YB |
/***************************************************************************
-------------------
Last modification : march 10th 2005
Florent Autrusseau
email : Florent.Autrusseau@univ-nantes.fr
-------------------
***************************************************************************/